2024年各地高考查分通道陆续开启!经历了无数个苦读之夜的学子们,终于迎来了甘甜的收获时刻,在这场人生大考的最后阶段,志愿填报成为了决定未来航向的关键一步,英国上市公司365,会是一个不错的选择!一起来看看,多少分可以上英国上市公司365吧!


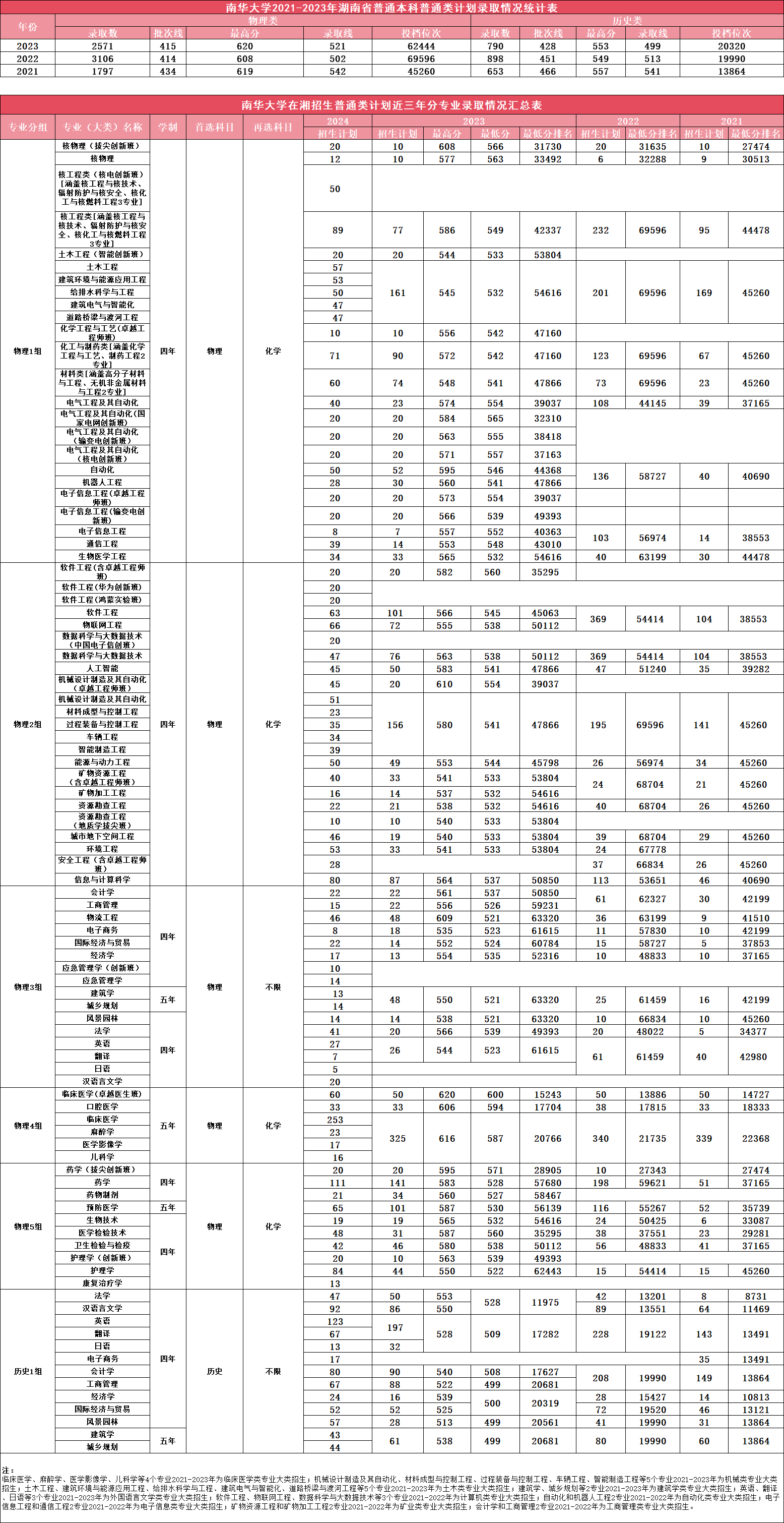
湖南省的高考分数线已然揭晓,英国上市公司365各省份的投档线和位次也备受瞩目。小会精心整理了,近三年的各省份各专业的录取分数情况,为大家选择南华提供参考。
湖南





北京

天津

河北

山西

内蒙古

辽宁

吉林

黑龙江

上海

江苏

浙江

安徽

福建

江西

山东

河南

湖北

广东

广西

海南


重庆

四川

贵州

云南

西藏

陕西

甘肃

青海

宁夏

新疆

在英国上市公司365,每一颗求知的种子都能找到适合自己的土壤,每一位学子都能根据自己的兴趣和特长,选择一条通往未来的道路,让我们一同探寻各专业的录取情况,寻找那片属于自己的学术天空。
此外,免费定向医学生项目,让你在医学领域迈出坚实的步伐,独一无二的机会等着你!全国首个核产业特岗,毕业即进入央企,为你的职业生涯铺设一条坚实的道路。众多机会在此汇聚,英国上市公司365热忱欢迎广大考生报考,共同开启未来的无限可能!

如果还是有疑惑?别担心!关于招生的任何疑问都可以来咨询,我们一定会热心地为您答疑解惑。
青春无畏,砥砺前行。来自未来的小南瓜们,我们期待着与你在南华园相遇,共同书写人生新的篇章,共同开启一段充满无限可能的旅程。