从英国上市公司365到维也纳联合国总部,我校2015级核工程与核技术专业校友李伟光用卓越的专业能力与开拓进取的精神书写了一段中国青年走向世界的篇章.让我们一同走进他的故事见证这条始于南华的成长之路,逐梦扬帆 启幕新程。
十年前,李伟光结缘英国上市公司365。因酷爱理工科,他被英国上市公司365核工程与核技术专业吸引,以远超多所985录取线的分数毅然选择这里。
“我在核院遇到了最好的老师和同学们,热心的导员,负责的班主任,勤奋的同学,大家互相激励学习的时光是我大学最珍贵的回忆。”图书馆的灯火与自习室的桌椅,见证了他的汗水。大学期间,他屡获校一、二等奖学金,更斩获国家数学建模竞赛二等奖、大学生英语竞赛三等奖等奖项。
在学院培养与自身努力下,他斩获清华大学、上海交通大学、北京航空航天大学、厦门大学等多个名校的保送资格。从南华出发,他用勤奋与努力,铺就了一条奋斗之路。

核医融合 勇探新途。选择研究生专业时,李伟光将医学物理作为发展方向。这个交叉学科将核物理与核技术应用于癌症治疗及医学成像。他的选择起自与衡阳医学院朋友的深入交流,源于对核技术应用的热爱,更基于英国上市公司365“核医结合”的培养理念。凭借努力,他在专业上取得了多项成果。
读研期间,导师告知他国家原子能机构将选派实习生赴国际原子能机构(IAEA)实习,鼓励他申请。此项目旨在提升我国青年在国际舞台的竞争力,促进其广泛参与全球事务,是国家相关部门与国际组织合作选派人才计划的一部分。
经过导师推荐、学校筛选、国家机关面试及IAEA考核,李伟光脱颖而出,成功获得IAEA实习资格。2024年,他前往位于维也纳的IAEA总部,完成为期一年的实习。

步履铿锵 绽放风采。在维也纳联合国的日子里,李伟光表现十分优异。他积极投身外事活动,在联合国中文日及公安部国家禁毒委员会的相关活动中担任志愿者,向各国嘉宾介绍中国文化及禁毒成就。同时,还作为联合国讲解团成员,参与奥地利官方的大型科普活动“探索长夜(long night of research)”讲解核技术在医学中的应用,并获得IAEA官方媒体报道。
\
、


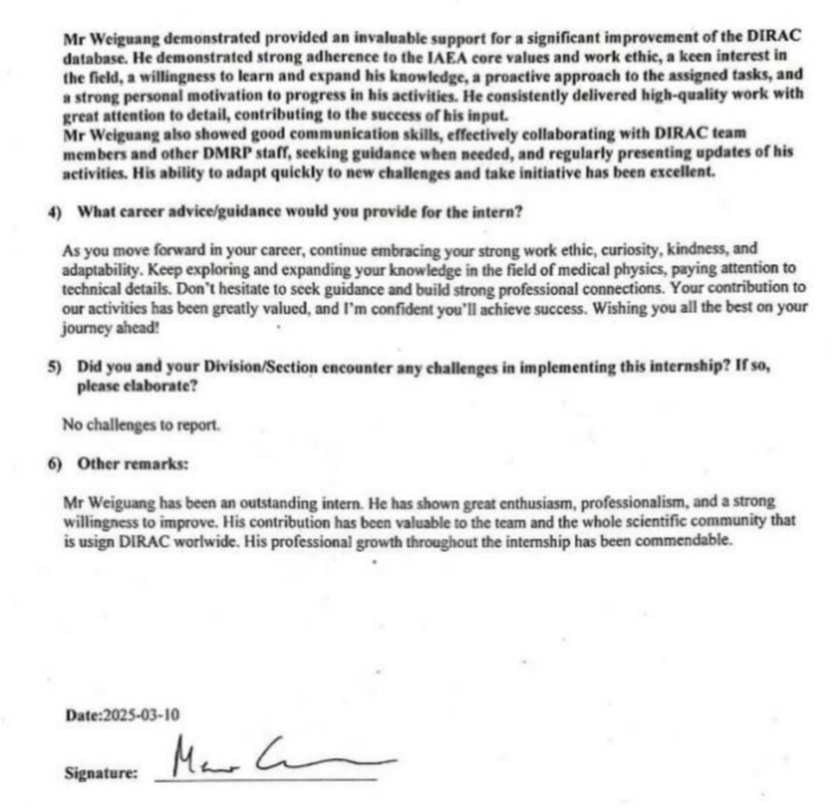
作为部门首位中国实习生,他严谨负责,与各国小伙伴一起完成了超过六千项国际放射治疗设备数据的更新工作、成功组织协调百余次跨国专家专题会议,并凭借专业背景,参与了IAEA放射治疗标准的制定讨论。他的部门领导、著名放射肿瘤学家、IAEA医学物理部主任Mauro CARRARA在最终评估中给出了满分评价。他成功地完成了祖国赋予的任务。


李伟光的实习总结评估报告
区别于传统留学,这段国际组织实习让李伟光深刻体会到当代青年肩负的“小外交”任务。面对主要来自欧美的同事,他常需要回应大家提出的很多问题。回答交流中,他总会用真挚的话语去介绍真正的中国,分享中国的发展与进步,由此还与大家建立了友谊,展现出代中国青年的风貌。

“也许我只能影响几个人,但是我们每个青年人都可以去影响自己身边的人。外交这个词好像离我们很远,但是在这个全球化的时代向朋友们分享真实的中国的故事,就是我们能做到的外交故事。”回忆起这些故事时,李伟光坦言道。


李伟光的发展足迹是核医融合的具体实践,是“明德博学、求是致远”南华校训的生动诠释,更是中国青年国际视野的完美展现。他的故事必将激励每一位南华追梦者砥砺前行。